材料与能源学院柳清菊团队在ACS Energy Letters发表研究论文 为高性能超级电容器电极材料的设计和研发提供了新的思路
2022-11-03
近日,云南大学材料与能源学院、云南省微纳材料与技术重点实验室柳清菊团队在ACS Energy Letters(IF = 23.99)发表研究论文“A brand-new hybrid structure with advantageous electron state for ultrahigh energy density asymmetric supercapacitors”( DOI: https://doi.org/10.1021/acsenergylett.2c02009, 2022),云南大学为第一完成单位,云南大学材料与能源学院博士生卢清杰为第一作者,柳清菊教授为通讯作者。
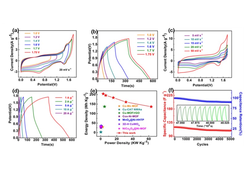
由于具有充放电速度快、功率密度高、循环稳定性好等优点,超级电容器被认为是前景广阔的能源储存设备,但是较低的能量密度大大地限制了其应用范围。超级电容器提升其能量密度的途径主要有提升比容量和扩宽工作电压窗口,而实现这两点的主要方法是通过对电极材料进行改性提升。基于此,柳清菊教授团队设计合成了一种由贵金属颗粒、MOFs以及双金属氧化物复合而成的、具有稳定3D纳米结构的超级电容器电极材料,并结合表征和DFT计算分析了其电化学动力学及改性机制。团队通过在具有优异表面化学性质的MOFs材料表面,均匀包覆具有丰富金属活性位点的双金属氧化物,并进一步负载贵金属颗粒,使得目标样品具有快速的电化学反应动力学、充足的电化学活性位点、活跃的电子状态,促进电化学反应的进行,实现优异的储能性能。测试结果表明组装的简易超级电容器设备的最大工作电压窗口为1.75 V,且表现出优良的倍率性能。在3.15 kW kg-1的功率密度下,实现了204.31 Wh kg-1的能量密度,高于国际上最新的同类报道。此外,该器件还表现出了优异的循环稳定性,5000次充放电后,其电容保留率为90.3%。该研究为高性能超级电容器电极材料的设计和研发提供了新的思路。

图1 材料合成示意图

图2 二电极体系性能测试结果
本项研究得到国家自然科学基金、云岭学者专项计划、云南省微纳材料与技术重点实验室等的支持。
供稿:材料与能源学院
编辑:奚利
责任编辑:李哲